首页
当前您的位置: 首页 - 通知公告 - 正文
日期:2024-03-22作者: 浏览量:
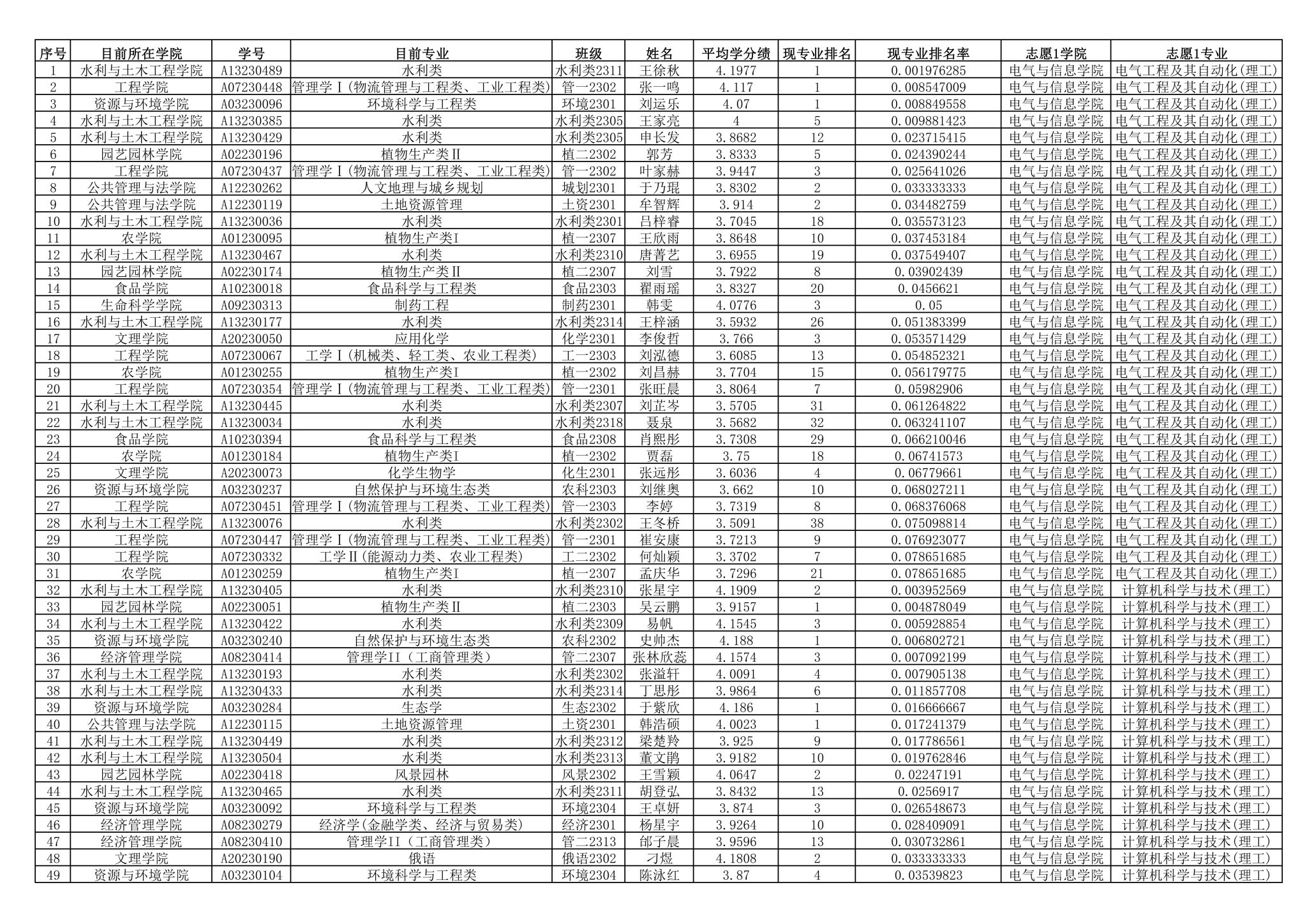
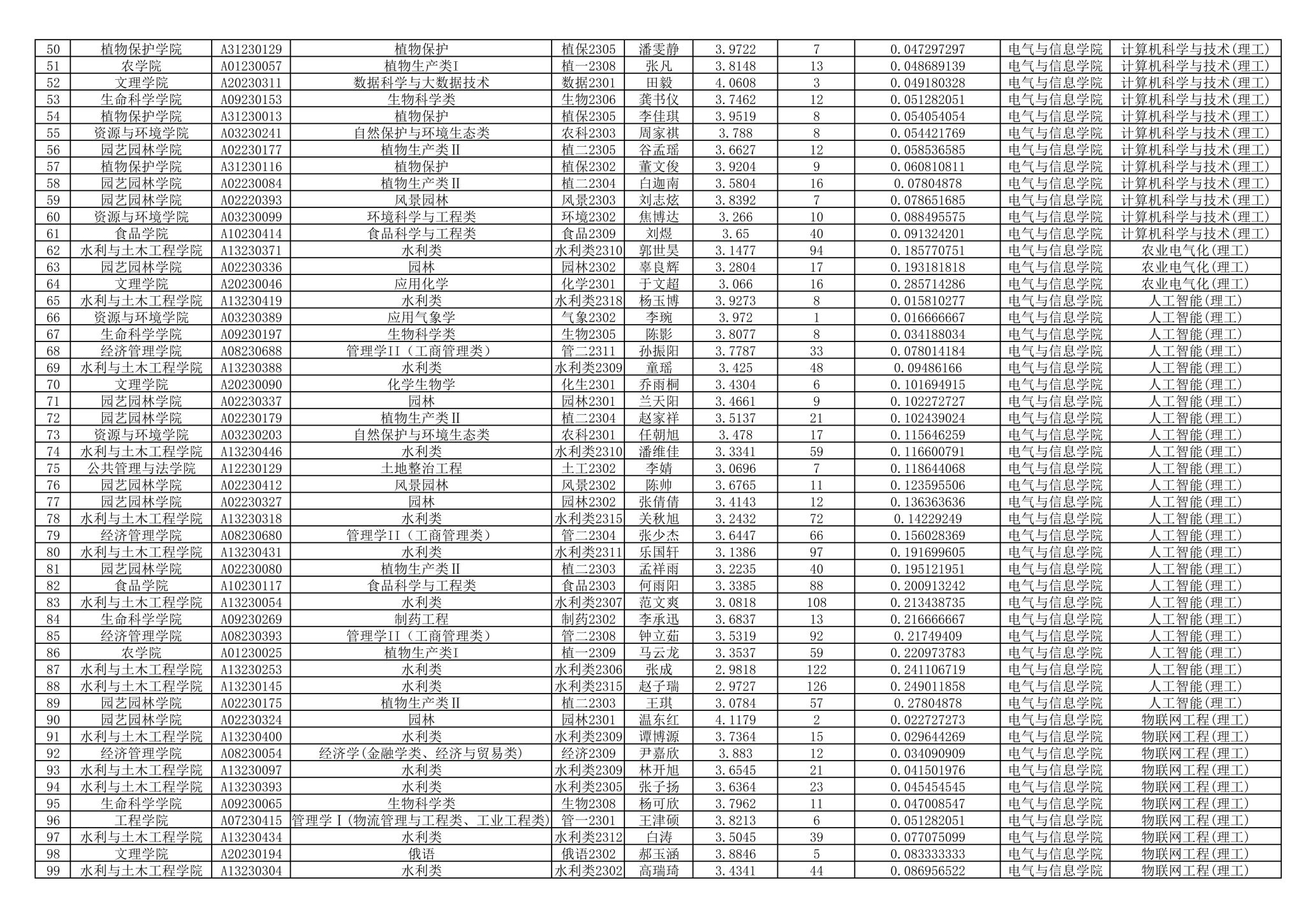
根据《BETVLCTOR伟德学生转专业、转学管理实施细则(修订)》和《bevictor伟德国际1946优秀本科生转专业接收方案》的规定,bevictor伟德国际19462023级优秀本科生校内转专业第一志愿录取结果如下:
bevictor伟德国际1946
2024年3月22日
上一篇:bevictor伟德国际19462023级优秀本科生校内转专业第二志愿录取结果
下一篇:bevictor伟德国际19462024年度BETVLCTOR伟德规划教材建设立项申报结果公示